🔥ГДЗ под запретом?

Упр.470 ГДЗ Никольский Потапов 9 класс (Алгебра)

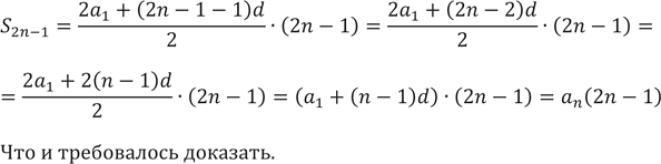
Решение #1

Изображение 470. Доказываем. Докажите, что для любой арифметической прогрессии {аn} справедлива формулаS(2n-1) =...

Решение #2

Изображение 470. Доказываем. Докажите, что для любой арифметической прогрессии {аn} справедлива формулаS(2n-1) =...

Рассмотрим вариант решения задания из учебника Никольский, Потапов 9 класс, Просвещение:
470. Доказываем. Докажите, что для любой арифметической прогрессии {аn} справедлива формула
S(2n-1) = an(2n-1)
*Цитирирование задания со ссылкой на учебник производится исключительно в учебных целях для лучшего понимания разбора решения задания.
*К сожалению, временные проблемы с публикацией комментариев с мобильных устройств.