Упр.453 ГДЗ Мерзляк 8 класс (Алгебра)
Решение #1
Решение #2

Рассмотрим вариант решения задания из учебника Мерзляк, Полонская, Якир 8 класс, Вентана-Граф:
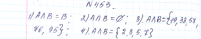
453. Найдите пересечение множеств А и В, если:
1) А — множество равнобедренных треугольников, В — множество равносторонних треугольников;
2) А — множество прямоугольных треугольников, В — множество равносторонних треугольников;
3) А — множество двузначных чисел, В — множество натуральных чисел, кратных 19;
4) А — множество однозначных чисел, В — множество простых чисел.
Похожие решебники
Популярные решебники 8 класс Все решебники
*размещая тексты в комментариях ниже, вы автоматически соглашаетесь с пользовательским соглашением