Упр.445 ГДЗ Колягин Ткачёва 11 класс (Алгебра)
Решение #1
Решение #2

Рассмотрим вариант решения задания из учебника Колягин, Ткачёва, Фёдорова 11 класс, Просвещение:
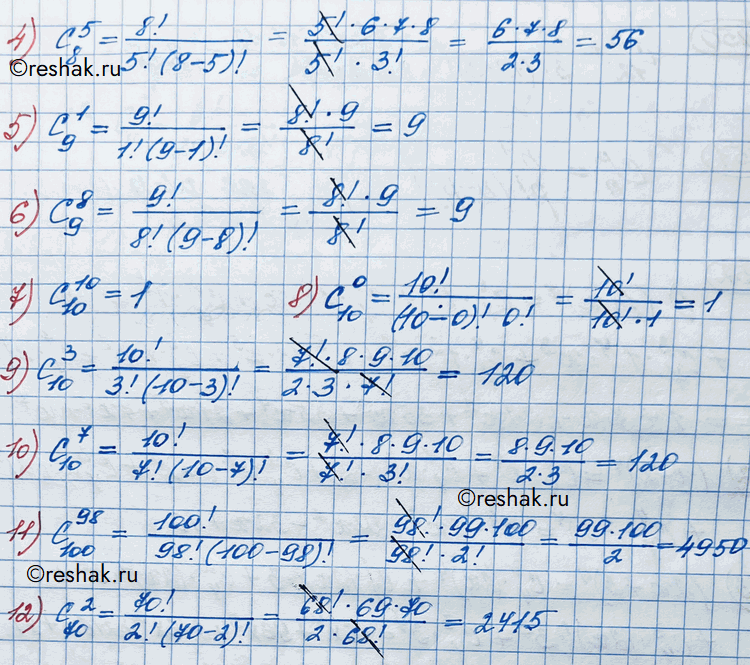
445 Найти:
1) С6 2;
2) C8 3;
3) C8 6;
4) C8 5;
5) C9 1;
6) C9 8;
7) C10 10;
8) C10 0;
9) C10 3;
10) C10 7;
11) C100 98;
12) C70 2.
Популярные решебники 11 класс Все решебники
*К сожалению, временные проблемы с публикацией комментариев с мобильных устройств.