Упр.411 ГДЗ Мерзляк 8 класс (Алгебра)
Решение #1
Решение #2
Решение #3

Рассмотрим вариант решения задания из учебника Мерзляк, Полонская, Якир 8 класс, Вентана-Граф:
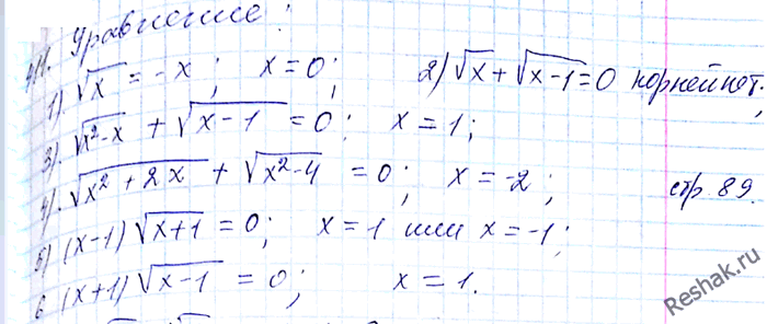
411. Решите уравнение:
1) корень x = -х;
2) корень x + корень (x-1) = 0;
3) корень (x2-x) + корень (x-1) = 0;
4) корень (x2+2x) + корень (x2-4) =0;
5) (х-1) корень (x+1) = 0;
6) (x+1) корень (x-1) = 0.
Похожие решебники
Популярные решебники 8 класс Все решебники
*размещая тексты в комментариях ниже, вы автоматически соглашаетесь с пользовательским соглашением