Упр.411 ГДЗ Колягин Ткачёва 10 класс (Алгебра)
Решение #1
Решение #2

Рассмотрим вариант решения задания из учебника Колягин, Ткачёва, Фёдорова 10 класс, Просвещение:
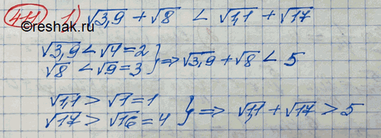
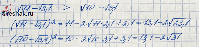
411. Сравнить значения выражений:
1) корень 3,9 + корень 8 и корень 1,1 + корень 17;
2) корень 11 - корень 2,1 и корень 10 - корень 3,1.
Популярные решебники 10 класс Все решебники
*К сожалению, временные проблемы с публикацией комментариев с мобильных устройств.