🔥ГДЗ под запретом?

Параграф 41 Вопрос 2 ГДЗ Рудзитис Фельдман 8 класс (Химия)

Решение #1

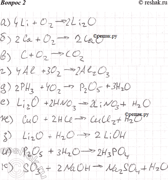
Изображение 2. Составьте уравнения реакций, схемы которых даны ниже:а) Li + ...-> Li2Oб) Са + ..-> CaOв) С + ...-> CO2г) Аl + ... -> Al2O3Д) РН3 + ... -> P2O5+H2Oе) LiaO...

Рассмотрим вариант решения задания из учебника Рудзитис, Фельдман 8 класс, Просвещение:
2. Составьте уравнения реакций, схемы которых даны ниже:
а) Li + ...- > Li2O
б) Са + ..- > CaO
в) С + ...- > CO2
г) Аl + ... - > Al2O3
Д) РН3 + ... - > P2O5+H2O
е) LiaO + .. - > LiNO3 + Н2o
ж) CuO + ... - > СuСl2 + Н2O
з) Li2O + ... - > LiOH
и) Р2O5 + ... - > H3PO4
к) S03 + ... - > Na2SO4 + ...
*Цитирирование задания со ссылкой на учебник производится исключительно в учебных целях для лучшего понимания разбора решения задания.
*К сожалению, временные проблемы с публикацией комментариев с мобильных устройств.