Упр.41.18 ГДЗ Мерзляк 10 класс Углубленный уровень (Алгебра)
Решение #1

Рассмотрим вариант решения задания из учебника Мерзляк, Номировский, Поляков 10 класс, Просвещение:
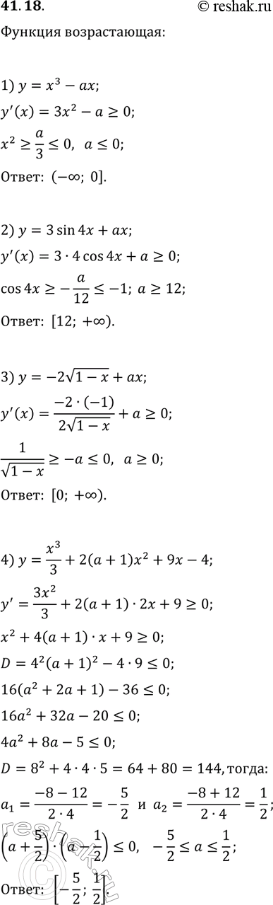
41.18. При каких значениях параметра а является возрастающей функция:
1) y=x^3-ax; 3) y=-2v(1-x)+ax;
2) y=3sin(4x)+ax; 4) y=x^3/3+2(a+1)x^2+9x-4?
Похожие решебники
Популярные решебники 10 класс Все решебники
*размещая тексты в комментариях ниже, вы автоматически соглашаетесь с пользовательским соглашением