🔥ГДЗ под запретом?

Упр.4.168 ГДЗ Виленкин Жохов 6 класс Часть 2, Просвещение (Математика)

Решение #1 (Учебник 2023)

Изображение а) В школе 700 учащихся. В шестых классах учится 10 % всех школьников, причём 40 % из них мальчики. Найдите, сколько мальчиков и девочек учится в шестых классах.Любое...

Решение #2 (Учебник 2023)

Изображение а) В школе 700 учащихся. В шестых классах учится 10 % всех школьников, причём 40 % из них мальчики. Найдите, сколько мальчиков и девочек учится в шестых классах.Любое...
Дополнительное изображение
Дополнительное изображение

Решение #3 (Учебник 2023)

Изображение а) В школе 700 учащихся. В шестых классах учится 10 % всех школьников, причём 40 % из них мальчики. Найдите, сколько мальчиков и девочек учится в шестых классах.Любое...

Рассмотрим вариант решения задания из учебника Виленкин, Жохов, Чесноков 6 класс, Просвещение:
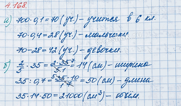
а) В школе 700 учащихся. В шестых классах учится 10 % всех школьников, причём 40 % из них мальчики. Найдите, сколько мальчиков и девочек учится в шестых классах.
Любое число процентов можно записать в виде десятичной дроби или натурального числа. Для этого, необходимо число, стоящее перед знаком %, разделить на 100.
Тогда, 10%=10:100=0,10=0,1 и 40%=40:100=0,4.
Для того, чтобы разделить десятичную дробь на 100, необходимо в этой дроби перенести запятую влево на 2 цифры.
Также учитываем то, что если в десятичной дроби последние цифры – нули, то, отбросив их, получим дробь, равную данной.
Для того, чтобы найти дробь от числа, необходимо умножить число на эту дробь.
В школе 700 учащихся. В шестых классах учится 10% всех школьников, то есть 0,1 всех учащихся, значит, в шестых классах 700•0,1=70,0=70 учащихся.
Причём, 40% из них мальчики, то есть 0,4 всех шестиклассников, значит, в шестых классах 70•0,4=28,0=28 мальчиков.
Для того, чтобы умножить десятичную дробь на натуральное число, необходимо умножить их как натуральные числа, не обращая внимание на запятую; в полученном произведении отделить запятой справа столько цифр, сколько их стоит после запятой у умножаемой дроби.
В шестых классах 70 учащихся, из них 28 мальчиков.
Значит, в шестых классах 70-28=42 девочек.
Ответ: 28 мальчиков и 42 девочки.
б) Высота прямоугольного параллелепипеда 35 см, а ширина составляет — высоты и 70 % длины. Найдите его объём.
Высота прямоугольного параллелепипеда равна 35 см, а ширина составляет 2/5 высоты.
Для того, чтобы найти дробь от числа, необходимо число умножить на эту дробь, значит, ширина прямоугольного параллелепипеда равна 35•2/5=(35•2)/5=(5•7•2)/5=14/1=14 (см).
Для того, чтобы умножить обыкновенную дробь на натуральное число, необходимо её числитель умножить на это число, а знаменатель оставить без изменения. При этом выполняем сокращение.
Любое число процентов можно записать в виде десятичной дроби или натурального числа. Для этого, необходимо число, стоящее перед знаком %, разделить на 100.
Тогда, 70%=70:100=0,70=0,7.
Для того, чтобы разделить десятичную дробь на 100, необходимо в этой дроби перенести запятую влево на 2 цифры.
Также учитываем то, что если в десятичной дроби последние цифры – нули, то, отбросив их, получим дробь, равную данной.
Ширина прямоугольного параллелепипеда равна 14 см и составляет 70% длины, то есть 0,7 длины.
Для того, чтобы найти число по его дроби, необходимо число разделить на эту дробь.
Значит, длина прямоугольного параллелепипеда равна
14:0,7=140:7=20 (см).
Для того, чтобы разделить десятичную дробь на десятичную, необходимо перенести в делимом и делителе запятые вправо на столько цифр, сколько их содержится после запятой в делителе; выполнить деление на натуральное число, то есть разделить дробь на это число, не обращая внимания на запятую; поставить в частном запятую, когда кончится деление целой части.
При этом учитываем то, что любое натуральное число можно представить в виде десятичной дроби с каким угодно количеством нулей после запятой.
Объём прямоугольного параллелепипеда равен произведению трёх его измерений: длины, ширины и высоты.
Тогда, объём прямоугольного параллелепипеда с измерениями 35 см, 14 см и 20 см будет равен
35•14•20=700•14=9800 (см^3).
Ответ: 9800 см^3.

*Цитирирование задания со ссылкой на учебник производится исключительно в учебных целях для лучшего понимания разбора решения задания.
*К сожалению, временные проблемы с публикацией комментариев с мобильных устройств.