Упр.39.5 Часть 2 ГДЗ Мордкович Семенов 7 класс (Алгебра)
Решение #1 (Учебник 2025)
Решение #2 (Учебник 2019)

Рассмотрим вариант решения задания из учебника Мордкович, Семенов, Александрова 7 класс, Бином:
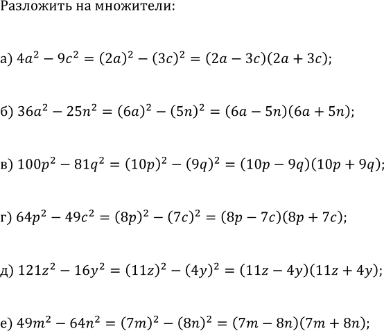
Разложите, если возможно, данный двучлен на множители.
а) 4a^2 - 9c^2; в) 100p^2 - 81q^2; д) 121z^2 - 16y^2;
б) 36a^2 - 25n^2; г) 64p^2 - 49c^2; е) 49m^2 - 64n^2.
В упражнениях 39.5—39.7 требуется выполнить задания, если известны результаты игр хоккейной команды «Д» на своём поле:
2:2, 2:0, 0:3, 3:2, 3:0, 2:1, 3:4, 4:5, 3:6,
5:0, 4:3, 3:3, 2:2, 2:1, 6:2, 5:3, 3:2, 4:1, 0:1.
Для числа шайб, пропущенных командой «Д», составьте: а) ряд данных; б) упорядоченный ряд данных; в) сгруппированный ряд данных; г) таблицу распределения данных.
Похожие решебники
Популярные решебники 7 класс Все решебники
*К сожалению, временные проблемы с публикацией комментариев с мобильных устройств.