Упр.387 ГДЗ Колягин Ткачёва 10 класс (Алгебра)
Решение #1
Решение #2

Рассмотрим вариант решения задания из учебника Колягин, Ткачёва, Фёдорова 10 класс, Просвещение:
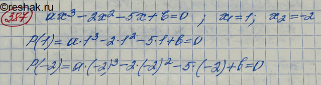
387. Уравнение ах3 - 2x2 - 5x + b = 0 имеет корни х1 = 1, x2 = -2. Найти а, b и третий корень этого уравнения.
Популярные решебники 10 класс Все решебники
*размещая тексты в комментариях ниже, вы автоматически соглашаетесь с пользовательским соглашением