Упр.378 ГДЗ Мерзляк Полонский 8 класс (Алгебра)
Решение #1 (Учебник 2025)
Решение #2 (Учебник 2019)
Решение #3 (Учебник 2019)

Рассмотрим вариант решения задания из учебника Мерзляк, Полонская, Якир 8 класс, Просвещение:
Не выполняя построения графика функции у = x^3, определите, проходит ли этот график через точку:
1) А (9; 729); 3) С (-7; -343);
2) В (-0,1; -0,01); 4) D (20; -8000).
Верно ли равенство (ответ обоснуйте):
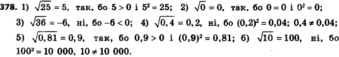
1) корень 25=5;
2) корень 0=0;
3) корень 36=-6;
4) корень 0,4=0,2;
5) корень 0,81=0,9;
6) корень 10=100?
Похожие решебники
Популярные решебники 8 класс Все решебники
*К сожалению, временные проблемы с публикацией комментариев с мобильных устройств.