Упр.370 ГДЗ Колягин Ткачёва 11 класс (Алгебра)
Решение #1
Решение #2

Рассмотрим вариант решения задания из учебника Колягин, Ткачёва, Фёдорова 11 класс, Просвещение:
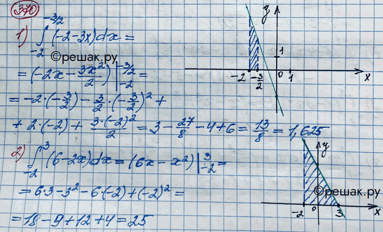
370. Изобразить фигуру, площадь которой равна данному интегралу, и вычислить эту площадь:
1) интеграл (-2;-3/2) (-2-3x) dx;
2) интеграл (-2;-3) (6-2x) dx;
3) интеграл (0;4) (12+x-x2) dx;
4) интеграл (-2;0) (x2-3x) dx;
5) интеграл (2пи;3пи) sinx dx;
6) интеграл (-пи/2;пи/2) cosx dx;
7) интеграл (-пи/4;пи/2) cosx 2x;
8) интеграл (пи/6;пи) sinxdx.
Популярные решебники 11 класс Все решебники
*К сожалению, временные проблемы с публикацией комментариев с мобильных устройств.