🔥ГДЗ под запретом?

Упр.361 ГДЗ Никольский Потапов 9 класс (Алгебра)

Решение #1

Изображение 361.	Подберите число х, удовлетворяющее равенству:а) корень третьей степени из (х+5) = 2;б) корень четвертой степени из (х+79) = 3;в) 2*корень четвертой степени из...

Решение #2

Изображение 361.	Подберите число х, удовлетворяющее равенству:а) корень третьей степени из (х+5) = 2;б) корень четвертой степени из (х+79) = 3;в) 2*корень четвертой степени из...
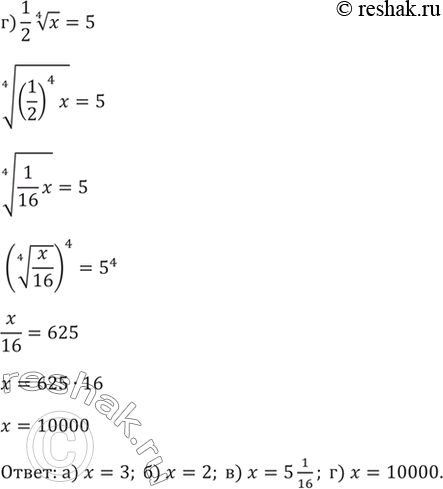
Дополнительное изображение

Рассмотрим вариант решения задания из учебника Никольский, Потапов 9 класс, Просвещение:
361. Подберите число х, удовлетворяющее равенству:
а) корень третьей степени из (х+5) = 2;
б) корень четвертой степени из (х+79) = 3;
в) 2*корень четвертой степени из х = 3;
г) 1/2* корень четвертой степени из х = 5.
*Цитирирование задания со ссылкой на учебник производится исключительно в учебных целях для лучшего понимания разбора решения задания.
*К сожалению, временные проблемы с публикацией комментариев с мобильных устройств.