Упр.36.22 ГДЗ Мордкович Семенов 8 класс (Алгебра)
Решение #1 (Учебник 2025)

Рассмотрим вариант решения задания из учебника Мордкович, Семенов, Александрова 8 класс, Просвещение:
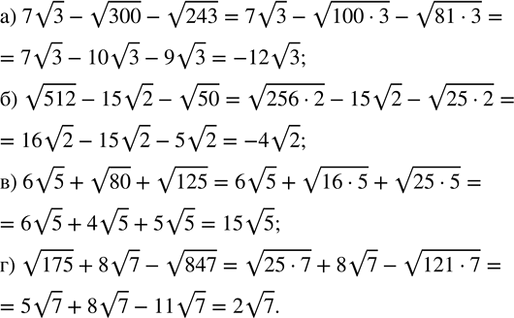
Упростите выражение:
а) 7v3 - v300 - v243; в) 6v5 + v80 + v125;
б) v512 - 15v2 - v50; г) v175 + 8v7 - v847.
Похожие решебники
Популярные решебники 8 класс Все решебники
*К сожалению, временные проблемы с публикацией комментариев с мобильных устройств.