Упр.35.49 ГДЗ Мордкович Семенов 11 класс (Алгебра)
Решение #1 (Учебник 2025)

Рассмотрим вариант решения задания из учебника Мордкович, Семенов, Александрова 11 класс, Просвещение:
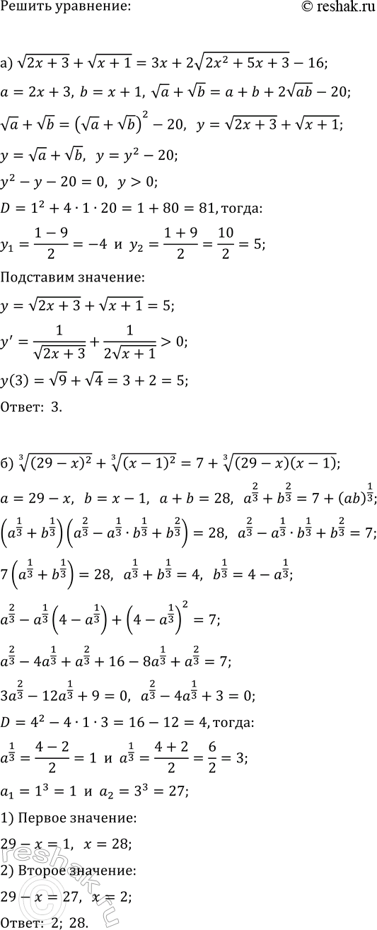
Решите уравнение:
а) v(2x + 3) + v(x + 1) = 3x + 2v(2x^2 + 5x + 3) - 16;
б) (29 - x)^(2/3) + (x - 1)^(2/3) = 7 + ((29 - x)(x - 1))^(1/3).
Похожие решебники
Популярные решебники 11 класс Все решебники
*К сожалению, временные проблемы с публикацией комментариев с мобильных устройств.