Упр.35.39 ГДЗ Мордкович Семенов 11 класс (Алгебра)
Решение #1 (Учебник 2025)

Рассмотрим вариант решения задания из учебника Мордкович, Семенов, Александрова 11 класс, Просвещение:
Решите уравнение:
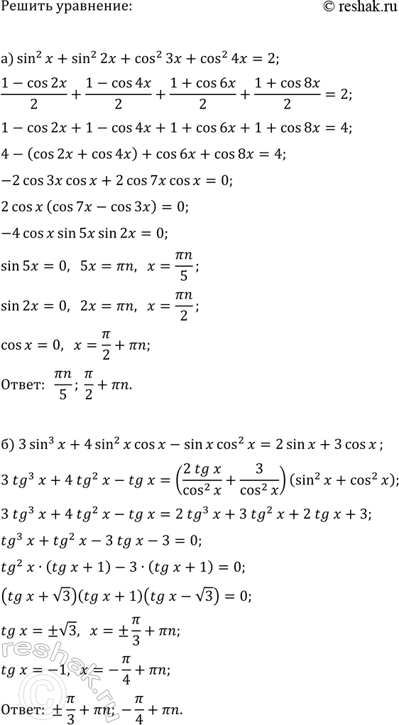
а) sin^2 x + sin^2 2x + cos^2 3x + cos^2 4x = 2;
б) 3sin^3 x + 4sin^2 x cos x - sin x cos^2 x = 2sin x + 3cos x;
в) 5sin x + 12cos x + 13sin 3x = 0;
г) sin 2x + 2sin x + 2cos x = 2.
Похожие решебники
Популярные решебники 11 класс Все решебники
*К сожалению, временные проблемы с публикацией комментариев с мобильных устройств.