Упр.35.14 ГДЗ Мордкович Семенов 11 класс (Алгебра)
Решение #1 (Учебник 2025)

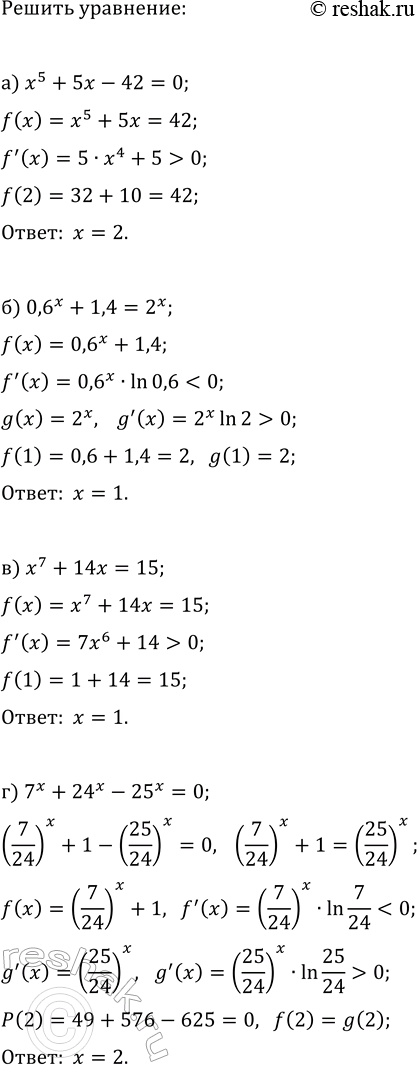
Рассмотрим вариант решения задания из учебника Мордкович, Семенов, Александрова 11 класс, Просвещение:
Решите уравнение, используя функционально-графические методы:
а) x^5 + 5x - 42 = 0; в) x^7 + 14x = 15;
б) 0,6^x + 1,4 = 2^x; г) 7^x + 24^x - 25^x = 0.
Похожие решебники
Популярные решебники 11 класс Все решебники
*К сожалению, временные проблемы с публикацией комментариев с мобильных устройств.