Упр.338 ГДЗ Мерзляк 9 класс (Алгебра)
Решение #1 (Учебник 2024)
Решение #2 (Учебник 2024)
Решение #3 (Учебник 2021)
Решение #4 (Учебник 2021)

Рассмотрим вариант решения задания из учебника Мерзляк, Полонская, Якир 9 класс, Просвещение:
Найдите область определения функции:
1) f(x) = корень(x - 2) + (x + 2)/(x - 5);
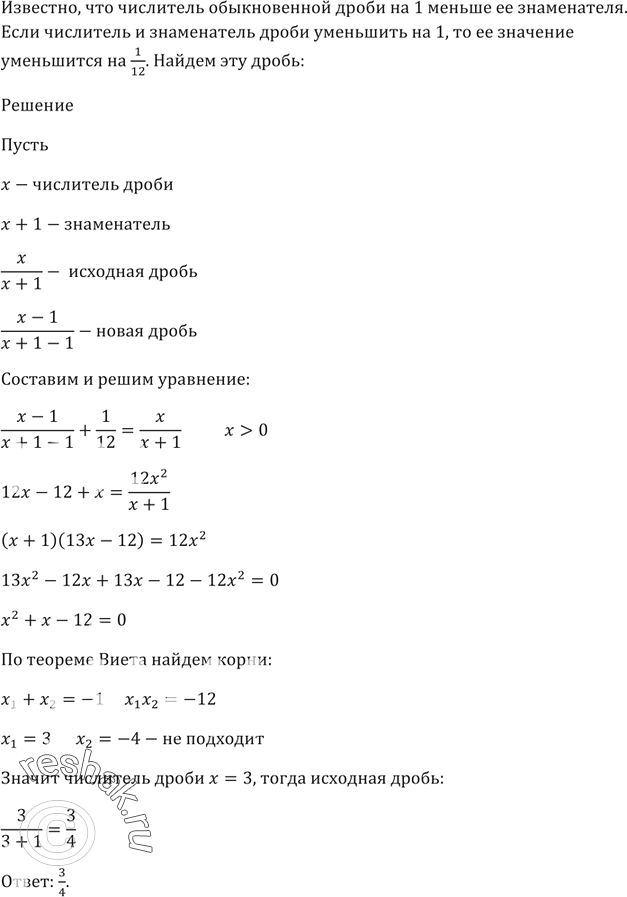
Числитель обыкновенной дроби на 1 меньше её знаменателя.
Если числитель и знаменатель дроби уменьшить на 1, то её значение уменьшится на 1/12. Найдите эту дробь.
Похожие решебники
Популярные решебники 9 класс Все решебники
*размещая тексты в комментариях ниже, вы автоматически соглашаетесь с пользовательским соглашением