Упр.310 ГДЗ Колягин Ткачёва 11 класс (Алгебра)
Решение #1
Решение #2

Рассмотрим вариант решения задания из учебника Колягин, Ткачёва, Фёдорова 11 класс, Просвещение:
310. Найти асимптоты графика функции:
1) f(x) = x+1/x;
2) f(x) = x2/x+4;
3) f(x) = x2-2x+3/x+2;
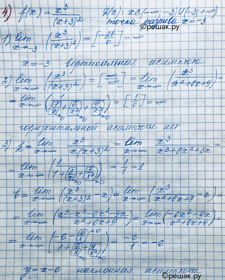
4) f(x) = x3/(x+3)2.
Популярные решебники 11 класс Все решебники
*К сожалению, временные проблемы с публикацией комментариев с мобильных устройств.