Упр.31.29 ГДЗ Мерзляк 10 класс Углубленный уровень (Алгебра)
Решение #1

Рассмотрим вариант решения задания из учебника Мерзляк, Номировский, Поляков 10 класс, Просвещение:
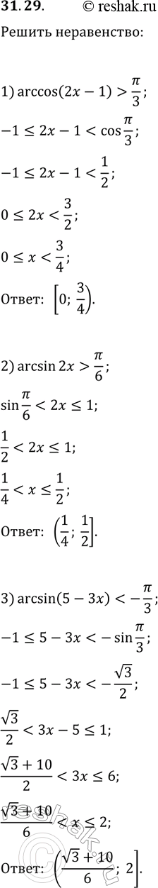
31.29. Решите неравенство:
1) arccos(2x-1) > ?/3;
2) arcsin(2x) > ?/6;
3) arcsin(5-3x) < -?/3.
Похожие решебники
Популярные решебники 10 класс Все решебники
*размещая тексты в комментариях ниже, вы автоматически соглашаетесь с пользовательским соглашением