Упр.309 ГДЗ Колягин Ткачёва 10 класс (Алгебра)
Решение #1
Решение #2

Рассмотрим вариант решения задания из учебника Колягин, Ткачёва, Фёдорова 10 класс, Просвещение:
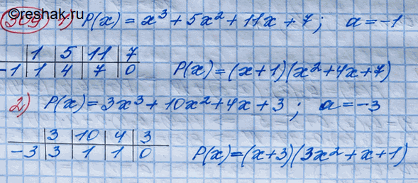
309. Разложить многочлен Р(х) на множители, если а — корень этого многочлена:
1) Р(х) = х3 + 5х2 + 11х + 7, а = —1;
2) Р(х) - Зх3 + 10х2 + 4х + 3, а = -3;
3) Р(х) = х8 + 4х2 - 7х — 10, а = -5;
4) Р(х) = х3 - 2х2 - 5х + 10, а = 2.
Популярные решебники 10 класс Все решебники
*размещая тексты в комментариях ниже, вы автоматически соглашаетесь с пользовательским соглашением