Упр.30.14 Часть 2 ГДЗ Мордкович Семенов 7 класс (Алгебра)
Решение #1 (Учебник 2019)

Рассмотрим вариант решения задания из учебника Мордкович, Семенов, Александрова 7 класс, Бином:
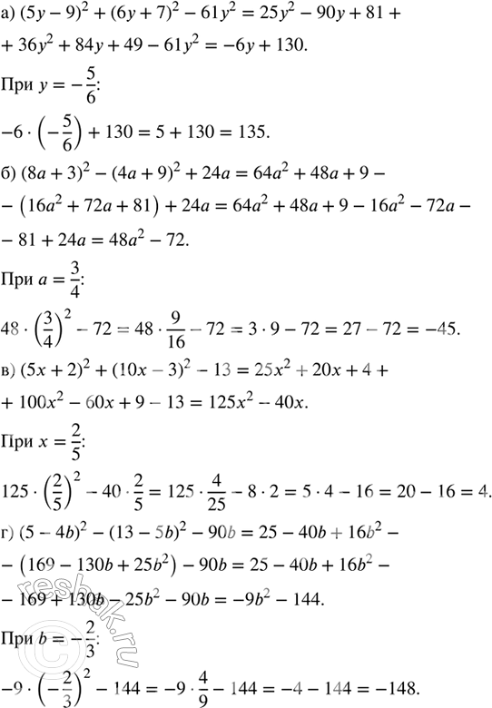
Упростите выражение и найдите его значение:
а) (5у - 9)^2 + (6у + 7)^2 - 61у^2 при у = -5/6;
б) (8а + 3)^2 — (4а + 9)^2 + 24а при а = 3/4;
в) (5х + 2)^2 + (10х — 3)^2 — 13 при х = 2/5;
г) (5 - 4b)^2 - (13 - 5b)^2 - 90b при b = -2/3.
Похожие решебники
Популярные решебники 7 класс Все решебники
*К сожалению, временные проблемы с публикацией комментариев с мобильных устройств.