Упр.3.12 ГДЗ Мерзляк 11 класс Базовый уровень (Алгебра)
Решение #1

Рассмотрим вариант решения задания из учебника Мерзляк, Номировский, Полонский 11 класс, Просвещение:
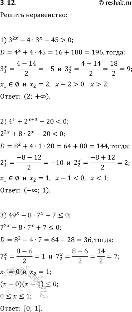
3.12. Решите неравенство:
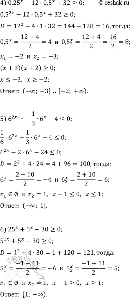
1) 3^(2x)-4·3^x-45 > 0; 4) 0,25^x-12·0,5^x+32?0;
2) 4^x+2^(x+3)-20 < 0; 5) 6^(2x-1)-1/3·6^x-4?0;
3) 49^x-8·7^x+7?0; 6) 25^x+5^x-30?0.
Похожие решебники
Популярные решебники 11 класс Все решебники
*размещая тексты в комментариях ниже, вы автоматически соглашаетесь с пользовательским соглашением