Упр.29.14 ГДЗ Лукашик 7-9 класс по физике (Физика)
Решение #1

Рассмотрим вариант решения задания из учебника Лукашик, Иванова 8 класс, Просвещение:
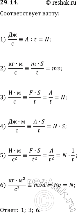
Какие из единиц, приведённых ниже, соответствуют ватту (Вт)?
1) Дж/с; 2) кг·м/c; 3) Н·м/с; 4) Дж·м/c; 5) Н·м/с^2; 6) кг·м^2/с^3.
Популярные решебники 8 класс Все решебники
*К сожалению, временные проблемы с публикацией комментариев с мобильных устройств.