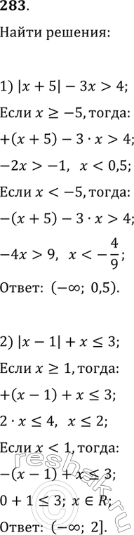
Упр.283 ГДЗ Мерзляк 9 класс (Алгебра)
Решение #1 (Учебник 2024)
Решение #2 (Учебник 2021)
Решение #3 (Учебник 2021)

Рассмотрим вариант решения задания из учебника Мерзляк, Полонская, Якир 9 класс, Просвещение:
Решите неравенство:
1) |x+5|-3x>4; 2) |x-1|+x?3.
Два экскаватора разных моделей вырыли котлован за 8 ч.
Первый экскаватор, работая самостоятельно, может вырыть такой котлован в 4 раза быстрее, чем второй.
За сколько часов может вырыть такой котлован каждый экскаватор, работая самостоятельно?
Похожие решебники
Популярные решебники 9 класс Все решебники
*размещая тексты в комментариях ниже, вы автоматически соглашаетесь с пользовательским соглашением