Задание ЕГЭ 5 Параграф 28 ГДЗ Мякишев 10 класс (Физика)
Решение #1

Рассмотрим вариант решения задания из учебника Мякишев, Буховцев 10 класс, Просвещение:
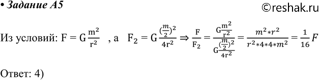
А5. Два маленьких шарика массой m каждый находится на расстоянии r друг от друга и притягиваются с силой F. Чему равна сила гравитационного притяжения двух других шариков, если масса каждого из них m/2, а расстояние между их центрами 2r?
1) F/2
2) F/4
3) F/8
4) F/16
Похожие решебники
Популярные решебники 10 класс Все решебники
*К сожалению, временные проблемы с публикацией комментариев с мобильных устройств.