🔥ГДЗ под запретом?

Упр.271 ГДЗ Бунимович Булычев 10 класс (Алгебра)

Решение #1

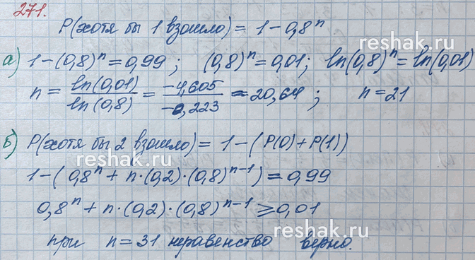
Изображение 271*. Процент всхожести семян редкого сорта цветов составляет 0.2. Сколько семян нужно посадить, чтобы с вероятностью 0,99 взошёл хотя бы 1 цветок? хотя бы 2...

Рассмотрим вариант решения задания из учебника Бунимович, Булычев 10 класс, Просвещение:
271*. Процент всхожести семян редкого сорта цветов составляет 0.2. Сколько семян нужно посадить, чтобы с вероятностью 0,99 взошёл хотя бы 1 цветок? хотя бы 2 цветка?
*Цитирирование задания со ссылкой на учебник производится исключительно в учебных целях для лучшего понимания разбора решения задания.
*К сожалению, временные проблемы с публикацией комментариев с мобильных устройств.