Упр.27.7 Часть 2 ГДЗ Мордкович Семенов 7 класс (Алгебра)
Решение #1 (Учебник 2025)
Решение #2 (Учебник 2019)

Рассмотрим вариант решения задания из учебника Мордкович, Семенов, Александрова 7 класс, Бином:
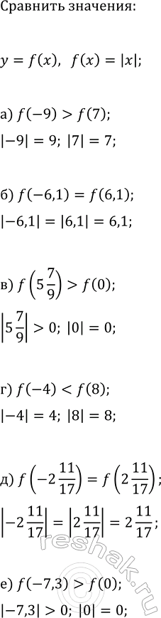
Дана функция y = f(x), где f(x) = |x|. Сравните:
а) f(-9) и f(7); г) f(-4) и f(8);
б) f(-6,1) и f(6,1); д) f(-2 11/17) и f(2 11/17);
в) f(5 7/9) и f(0); е) f(-7,3) и f(0).
Упростите выражение:
а) ((3ax^2)^3 · 9a^4 x)/(9a^3 x)^2;
б) (-25a^2 b^3)^3/((5ab^2)^2 · 125a^4 b^5);
в) ((-2b^2 y^3)^4 · 8b^10 y^5)/(4b^5 y)^3;
г) (-4a^3 b^2)^4/((8a^3 b^2)^2 · (-a^2 b)^3);
д) ((5x^3 y)^2 · (-2xy^2)^5)/(-10x^2 y^3)^3;
е) (-6c^3 d^4)^4/((4c^3 d^2)^2 · (-3cd^2)^3).
Похожие решебники
Популярные решебники 7 класс Все решебники
*К сожалению, временные проблемы с публикацией комментариев с мобильных устройств.