Упр.26.2 ГДЗ Мерзляк 10 класс Углубленный уровень (Алгебра)
Решение #1

Рассмотрим вариант решения задания из учебника Мерзляк, Номировский, Поляков 10 класс, Просвещение:
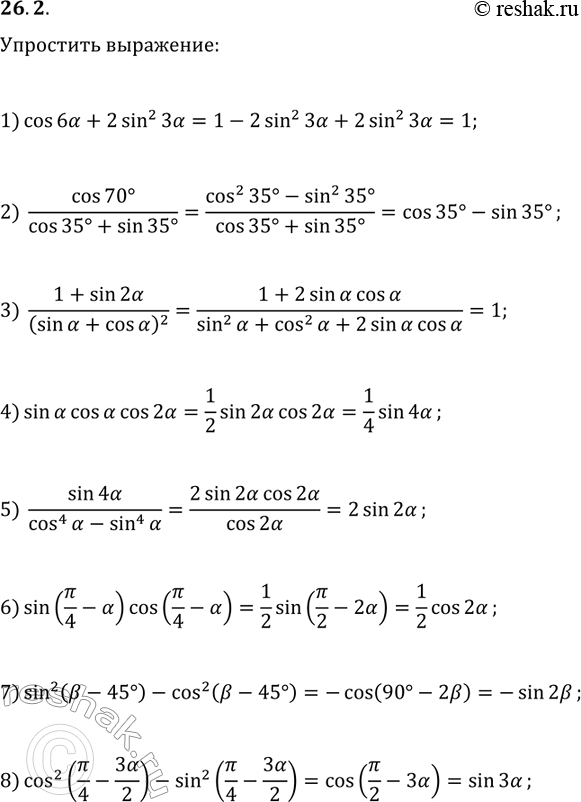
26.2. Упростите выражение:
1) cos(6?)+2sin^2(3?); 5) sin(4?)/(cos^4(?)-sin^4(?));
2) cos(70°)/(cos(35°)+sin(35°)); 6) sin(?/4-?)cos(?/4-?);
3) (1+sin(2?))/(sin(?)+cos(?))^2; 7) sin^2(?-45°)-cos^2(?-45°);
4) sin(?)cos(?)cos(2?); 8) cos^2(?/4-3?/2)-sin^2(?/4-3?/2).
Похожие решебники
Популярные решебники 10 класс Все решебники
*размещая тексты в комментариях ниже, вы автоматически соглашаетесь с пользовательским соглашением