Упр.26.12 Часть 2 ГДЗ Мордкович Семенов 7 класс (Алгебра)
Решение #1 (Учебник 2025)
Решение #2 (Учебник 2019)

Рассмотрим вариант решения задания из учебника Мордкович, Семенов, Александрова 7 класс, Бином:
Не выполняя построений, установите, верно ли приведённое высказывание.
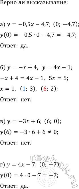
а) График функции y = -0,5x - 4,7 проходит через точку (0; -4,7).
б) Графики функций y = -x + 4 и y = 4x - 1 пересекаются в точках с координатами (1; 3) и (6; 2).
в) График функции y = -3x + 6 пересекается с осью абсцисс в точке (6; 0).
г) График функции y = 4x - 7 пересекается с осью ординат в точке (0; -7).
Решите систему уравнений:
а) {5x + 3y = 4; -x + 2y = -6};
б) {-7x - 6y = 8; 3x + 4y = -2}.
Похожие решебники
Популярные решебники 7 класс Все решебники
*К сожалению, временные проблемы с публикацией комментариев с мобильных устройств.