Упр.258 ГДЗ Мерзляк Полонский 7 класс (Алгебра)
Решение #1 (Учебник 2025)
Решение #2 (Учебник 2021)
Решение #3 (Учебник 2021)

Рассмотрим вариант решения задания из учебника Мерзляк, Полонская, Якир 7 класс, Вентана-Граф:
Сколько в 1 км содержится:
1) метров; 2) сантиметров; 3) миллиметров?
Ответ запишите в виде степени числа 10.
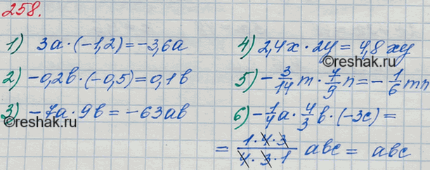
Упростите выражение:
1) 3a * (-1,2);
2) -0,2b*(-0,5);
3) -7a*9b;
4) 2,4x*2y;
5) -3/14*m * 7/9*n;
6) -1/4*a *4/3*b *(-3c).
Похожие решебники
Популярные решебники 7 класс Все решебники
*К сожалению, временные проблемы с публикацией комментариев с мобильных устройств.