Упр.24.20 ГДЗ Мордкович Семенов 11 класс (Алгебра)
Решение #1 (Учебник 2025)

Рассмотрим вариант решения задания из учебника Мордкович, Семенов, Александрова 11 класс, Просвещение:
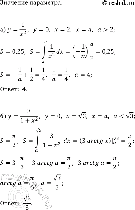
а) Фигура ограничена графиком функции y = 1 / x^2 и прямыми y = 0, x = 2, x = a. При каком значении параметра a площадь фигуры равна 0,25, если известно, что a > 2?
б) Фигура ограничена графиком функции y = 3 / (1 + x^2) и прямыми y = 0, x = v3, x = a. При каком значении параметра a площадь фигуры равна ?/2, если известно, что a < v3?
Похожие решебники
Популярные решебники 11 класс Все решебники
*К сожалению, временные проблемы с публикацией комментариев с мобильных устройств.