Упр.23.10 ГДЗ Мерзляк 10 класс Углубленный уровень (Алгебра)
Решение #1

Рассмотрим вариант решения задания из учебника Мерзляк, Номировский, Поляков 10 класс, Просвещение:
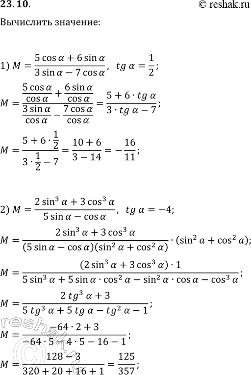
23.10. Найдите значение выражения:
1) (5cos(?)+6sin(?))/(3sin(?)-7cos(?)), если tg(?)=1/2;
2) (2sin^3(?)+3cos^3(?))/(5sin(?)-cos(?)), если tg(?)=-4.
Похожие решебники
Популярные решебники 10 класс Все решебники
*размещая тексты в комментариях ниже, вы автоматически соглашаетесь с пользовательским соглашением