Упр.223 ГДЗ Рабочая тетрадь Босова 8 класс 2024 (Информатика)
|
Не совпадает с вашим учебником? Посмотрите устаревший решебник |
Решение #1

Рассмотрим вариант решения задания из учебника Босова, Босова 8 класс, Просвещение:
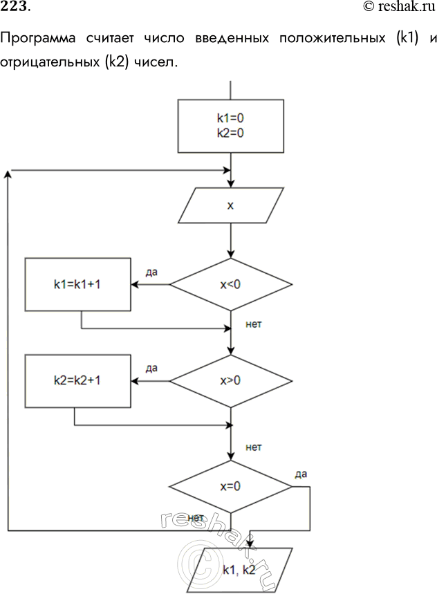
223. Дана программа на двух языках программирования:
Паскаль
var х, k1, k2: integer;
begin
k1 := 0;
k2 := 0;
repeat
writeln('Введите целое число');
readln (x);
if x < 0 then k1 := k1 + 1;
if x > 0 then k2 := k2 + 1;
until x = 0;
writeln('k1 = ', k1, '', 'k2 = ', k2)
end.
Python
k1 = 0
k2 = 0
while True:
x = int(input('Введите целое число '))
if x < 0: k1 += 1
if x > 0: k2 += 1
if x == 0: break
print ('k1 = ', k1, ", ' k2 = ', k2)
Чем являются результаты работы программы?
Составьте блок-схему, соответствующую программе.
Программа считает число введенных положительных (k1) и отрицательных (k2) чисел.
Похожие решебники
Популярные решебники 8 класс Все решебники
*размещая тексты в комментариях ниже, вы автоматически соглашаетесь с пользовательским соглашением