Упр.217 ГДЗ Колягин Ткачёва 10 класс (Алгебра)
Решение #1
Решение #2

Рассмотрим вариант решения задания из учебника Колягин, Ткачёва, Фёдорова 10 класс, Просвещение:
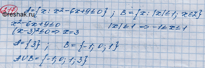
217. Найти А объединяет В, если
А = {х : х2 - 6х + 9 < = 0} и В = {х : |х| < = 1, х принадлежит Z}.
Популярные решебники 10 класс Все решебники
*К сожалению, временные проблемы с публикацией комментариев с мобильных устройств.