Упр.215 ГДЗ Мерзляк Полонский 7 класс (Алгебра)
Решение #1
Решение #2

Рассмотрим вариант решения задания из учебника Мерзляк, Полонская, Якир 7 класс, Вентана-Граф:
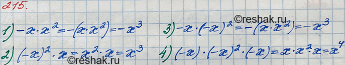
215. Упростите выражение:
1) -х * х2;
2) (-х)2 * х;
3) —х * (-х)2;
4) (-х) * (-х)2 * (-х).
Похожие решебники
Популярные решебники 7 класс Все решебники
*К сожалению, временные проблемы с публикацией комментариев с мобильных устройств.