Упр.20.31 ГДЗ Мордкович Семенов 11 класс (Алгебра)
Решение #1 (Учебник 2025)

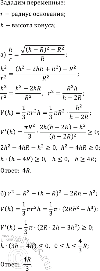
Рассмотрим вариант решения задания из учебника Мордкович, Семенов, Александрова 11 класс, Просвещение:
а) Найдите высоту конуса наименьшего объёма, описанного около шара радиусом R.
б) Найдите высоту конуса наибольшего объёма, вписанного в шар радиусом R.
Похожие решебники
Популярные решебники 11 класс Все решебники
*К сожалению, временные проблемы с публикацией комментариев с мобильных устройств.