Упр.2.75 ГДЗ Дорофеев Шарыгин 5 класс (Математика)
Решение #1

Рассмотрим вариант решения задания из учебника Дорофеев, Шарыгин, Суворова 5 класс, Просвещение:
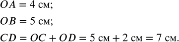
Рассмотрите рисунок 2.14. Чему равны длины отрезков ОA, ОВ и CD, если радиусы окружностей соответственно равны 2 см, 4 см и 5 см?
Популярные решебники 5 класс Все решебники
*К сожалению, временные проблемы с публикацией комментариев с мобильных устройств.