Упр.2.14 ГДЗ Дорофеев Шарыгин 6 класс (Математика)
Решение #1

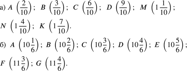
Рассмотрим вариант решения задания из учебника Дорофеев, Шарыгин, Суворова 6 класс, Просвещение:
Запишите координаты каждой точки, отмеченной на координатной прямой (рис. 1.2).
Популярные решебники 6 класс Все решебники
*К сожалению, временные проблемы с публикацией комментариев с мобильных устройств.