Упр.19.18 ГДЗ Мерзляк 11 класс Базовый уровень (Алгебра)
Решение #1

Рассмотрим вариант решения задания из учебника Мерзляк, Номировский, Полонский 11 класс, Просвещение:
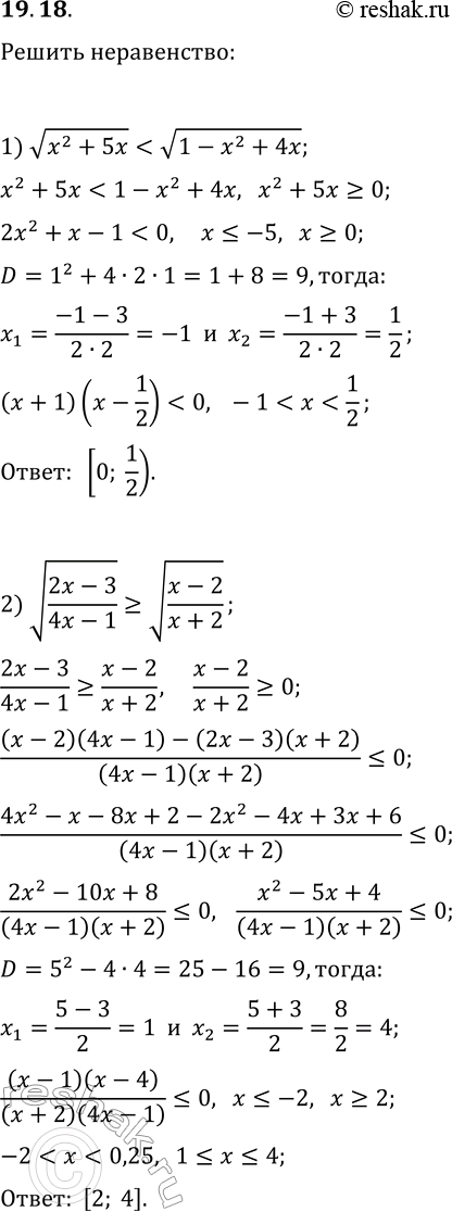
19.18. Решите неравенство:
1) v(x^2+5x) < v(1-x^2+4x);
2) v((2x-3)/(4x-1))?v((x-2)/(x+2)).
Похожие решебники
Популярные решебники 11 класс Все решебники
*размещая тексты в комментариях ниже, вы автоматически соглашаетесь с пользовательским соглашением