Упр.19.1 ГДЗ Мерзляк 10 класс Углубленный уровень (Алгебра)
Решение #1

Рассмотрим вариант решения задания из учебника Мерзляк, Номировский, Поляков 10 класс, Просвещение:
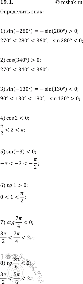
19.1. Положительным или отрицательным числом является значение тригонометрической функции:
1) sin(-280°); 2) cos(340°); 3) sin(-130°); 4) cos(2);
5) sin(-3); 6) tg(1); 7) ctg(7?/4); 8) tg(5?/6)?
Похожие решебники
Популярные решебники 10 класс Все решебники
*размещая тексты в комментариях ниже, вы автоматически соглашаетесь с пользовательским соглашением