Упр.18.3 ГДЗ Никольский Потапов 11 класс (Алгебра)
Решение #1
Решение #2

Рассмотрим вариант решения задания из учебника Никольский, Потапов 11 класс, Просвещение:
18.3 а) 2х2 + 5х + 2 = 0;
б) 3х2 - х + 2 = 0;
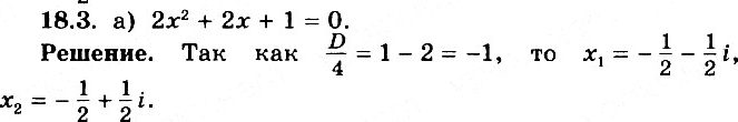
в) 2x2 + 2x + 1 = 0;
г) 2x2 - 2x + 1 = 0;
д) 5x2 + 7х + 3 = 0;
е) 6x2 — 2х + 1 = 0.
Популярные решебники 11 класс Все решебники
*размещая тексты в комментариях ниже, вы автоматически соглашаетесь с пользовательским соглашением