Упр.178 ГДЗ Колягин Ткачёва 10 класс (Алгебра)
Решение #1
Решение #2

Рассмотрим вариант решения задания из учебника Колягин, Ткачёва, Фёдорова 10 класс, Просвещение:
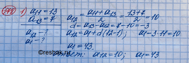
178. Найти двенадцатый и первый члены арифметической прогрессии, если:
1) а11 = 13, а13 = 7;
2) a11 = -14, a13 = -6.
Популярные решебники 10 класс Все решебники
*размещая тексты в комментариях ниже, вы автоматически соглашаетесь с пользовательским соглашением