Упр.16 ГДЗ Колягин Ткачёва 10 класс (Алгебра)
Решение #1
Решение #2

Рассмотрим вариант решения задания из учебника Колягин, Ткачёва, Фёдорова 10 класс, Просвещение:
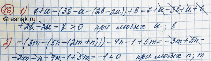
Доказать, что выражение:
1) 7 + а - (3b - а - (2b - 2а)) + b принимает положительные значения при любых значениях а и b;
2) -(3m - (5n - (2m + n))) - 4n — 1 + 5m принимает отрицательные значения при любых значениях m и n.
Популярные решебники 10 класс Все решебники
*размещая тексты в комментариях ниже, вы автоматически соглашаетесь с пользовательским соглашением