Упр.15.3 ГДЗ Мерзляк 10 класс Углубленный уровень (Алгебра)
Решение #1

Рассмотрим вариант решения задания из учебника Мерзляк, Номировский, Поляков 10 класс, Просвещение:
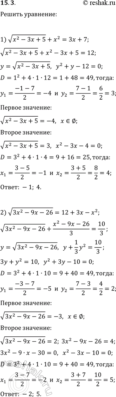
15.3. Решите уравнение, используя метод замены переменной:
1) v(x^2-3x+5)+x^2=3x+7; 3) 2x^2+6x-3v(x^2+3x-3)=5;
2) v(3x-9x-26)=12+3x-x^2; 4) v(x x^(1/5))+(xvx)^(1/5)=72.
Похожие решебники
Популярные решебники 10 класс Все решебники
*размещая тексты в комментариях ниже, вы автоматически соглашаетесь с пользовательским соглашением