Упр.1346 ГДЗ Мерзляк Полонский 5 класс (Математика)
Решение #1 (Учебник 2024)

Рассмотрим вариант решения задания из учебника Мерзляк, Полонский, Якир 5 класс, Просвещение:
Упростите выражение и найдите его значение:
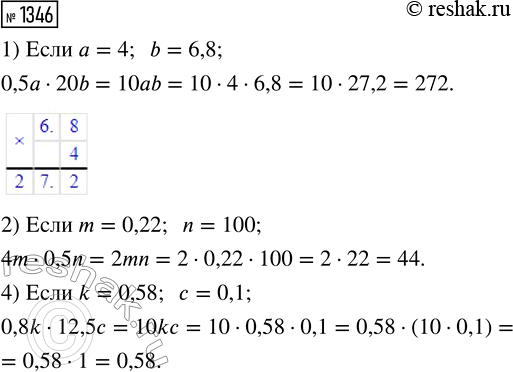
1) 0,5а · 20b, если а = 4, b = 6,8;
2) 4m · 0,5n, если m = 0,22, n = 100;
3) 0,8k · 12,5с, если k = 0,58, с = 0,1.
Похожие решебники
Популярные решебники 5 класс Все решебники
*К сожалению, временные проблемы с публикацией комментариев с мобильных устройств.