Упр.1337 ГДЗ Мерзляк Полонский 5 класс (Математика)
Решение #1 (Учебник 2024)

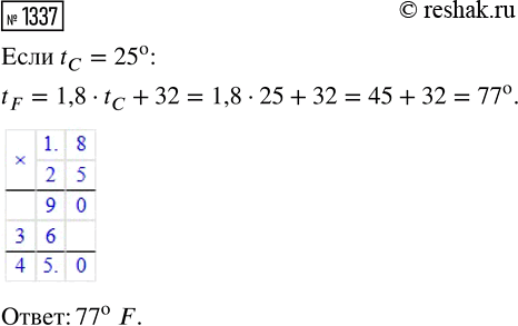
Рассмотрим вариант решения задания из учебника Мерзляк, Полонский, Якир 5 класс, Просвещение:
Во многих странах мира, в том числе и в России, температуру измеряют по шкале Цельсия. В некоторых странах, в частности в США, температуру измеряют по шкале Фаренгейта. Чтобы перевести значение температуры по шкале Цельсия в шкалу Фаренгейта, пользуются формулой t_F = 1,8t_C + 32, где t_C — температура в градусах Цельсия, t_F — температура в градусах Фаренгейта. Скольким градусам по шкале Фаренгейта соответствуют 25 градусов по шкале Цельсия?
Похожие решебники
Популярные решебники 5 класс Все решебники
*К сожалению, временные проблемы с публикацией комментариев с мобильных устройств.