Упр.13.6 ГДЗ Мордкович Семенов 11 класс (Алгебра)
Решение #1 (Учебник 2025)
Решение #2 (Учебник 2022)

Рассмотрим вариант решения задания из учебника Мордкович, Семенов, Александрова 11 класс, Просвещение:
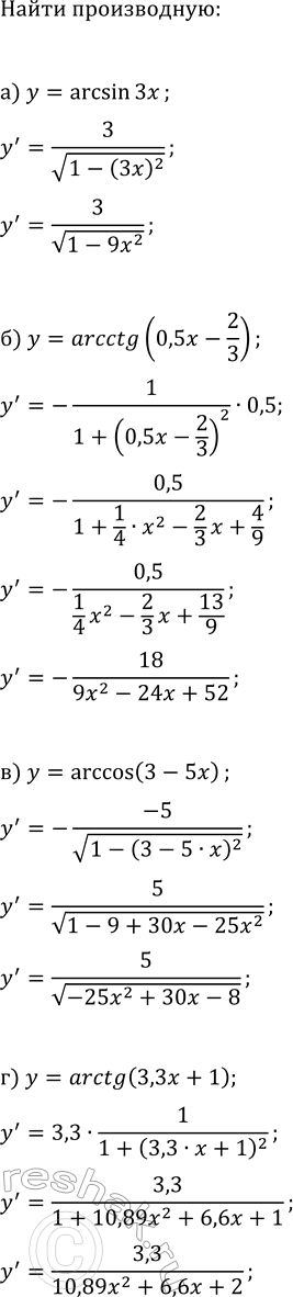
Найдите производную функции:
а) y = arcsin 3x; б) y = arcctg(0,5x - 2/3);
в) y = arccos(3 - 5x); г) y = arctg(3,3x + 1).
Найдите производную данной функции:
а) y=1/x^2,7; в) y=-3/x^(2/3); д) y=v5/x^v5;
б) y=-1/x^3,2; г) y=2/x^(5/6); е) y=(v3+1)/x^(v3-1).
Похожие решебники
Популярные решебники 11 класс Все решебники
*К сожалению, временные проблемы с публикацией комментариев с мобильных устройств.