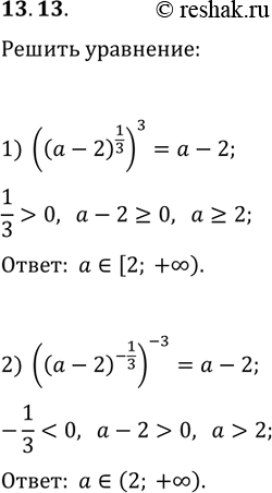
Упр.13.13 ГДЗ Мерзляк 10 класс Углубленный уровень (Алгебра)
Решение #1

Рассмотрим вариант решения задания из учебника Мерзляк, Номировский, Поляков 10 класс, Просвещение:
13.13. При каких значениях а выполняется равенство:
1) ((a-2)^(1/3))^3=a-2; 2) ((a-2)^(-1/3))^(-3)=a-2?
Похожие решебники
Популярные решебники 10 класс Все решебники
*размещая тексты в комментариях ниже, вы автоматически соглашаетесь с пользовательским соглашением