Упр.1222 ГДЗ Мерзляк Полонский 7 класс (Алгебра)
Решение #1
Решение #2

Рассмотрим вариант решения задания из учебника Мерзляк, Полонская, Якир 7 класс, Вентана-Граф:
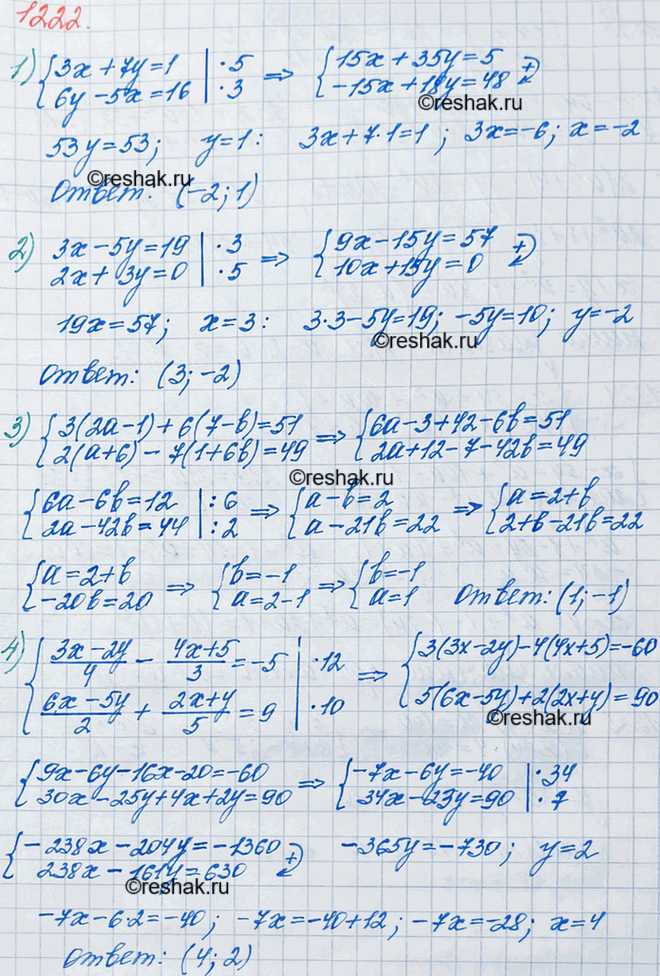
1222. Решите систему уравнений:
1) система
3x+7y=1,
6y-5x=16;
2) система
3x-5y=19,
2x+3y=0;
3) система
3(2a-1)+6(7-b)=51,
2(a+6)-7(1+6b)=49;
4) система
Похожие решебники
Популярные решебники 7 класс Все решебники
*К сожалению, временные проблемы с публикацией комментариев с мобильных устройств.